Según la leyenda Arturo logro sacar una espada de una piedra donde había sido colocada por el mago Merlin, esta mítica espada de acuerdo con las tradiciones Anglosajonas recibía el nombre de caladfwlch que significa relampago fuerte, después de esto paso a la forma platinizada caliburnus y la versión Inglesa de esta palabra fue excalaber y finalmente la versión francesa excalibur.
PRIMARIA, SECUNDARIA, BACHILLERATO. Y ADEMAS ENCONTRARAS ARTICULOS MUY INTERESANTES SOBRE CIENCIAS, ARTE, TECNOLOGÍA Y MUCHAS COSAS MAS.
LA PRIMERA PLANTA DEL MUNDO "AMBORELLA"
Botánicos de Estados Unidos a través de diversos estudios lograron saber cual fue la "eva" de las plantas, la cual vivió hace un millón de años y a partir de ella todas las demás plantas que hoy abitan la tierra, la bautizaron con el nombre de Amborella que significa heredera. Sus características son, es una flor pequeña y en su interior tiene un ovario desarrollado enbuelto por pétalos que fueron polinizados por insectos.
MATERIALES SINTETICOS
Los materiales sintéticos están avanzando tecnologicamente y son utilizados en muchos contextos de la medicina, se utilizan para crear reemplazos de materia orgánica como por ejemplo en prótesis, estos materiales deben de ser biocompatibles con el cuerpo del receptor ya que, el cuerpo puede rechazar el material sintético y generar complicaciones.
Con la tecnología actual se a logrado crear una célula sintética lo que abre un mundo totalmente nuevo de posibilidades.
Con la tecnología actual se a logrado crear una célula sintética lo que abre un mundo totalmente nuevo de posibilidades.
LAS GANANCIAS DE MICROSOFT
Una de las empresas mas poderosas del planeta es Microsoft, desde su creación en marzo de 1986 y con su cotización actual, Microsoft esta ganando mas de 57 dolares por segundo.
Microsoft no se conformo con dominar el mercado de los sistemas operativos ya que actualmente tienen en el mercado hardware software de videojuegos, equipos de tecnología de punta como tablets etc.
Microsoft no se conformo con dominar el mercado de los sistemas operativos ya que actualmente tienen en el mercado hardware software de videojuegos, equipos de tecnología de punta como tablets etc.
EL VERDADERO NOMBRE DE PLATÓN
Nacido en Atenas Grecia fue hijo de Ariston descendiente directo de los primeros reyes de Atenas, su madre Perictione desendiente de Dropides.
El verdadero nombre de platon fue Aristocles, fue llamado Platón desde su adolescencia y en su vida adulta Platón fue discipulo de Socrates.
El verdadero nombre de platon fue Aristocles, fue llamado Platón desde su adolescencia y en su vida adulta Platón fue discipulo de Socrates.
LOS MAMÍFEROS CON MAS ESPECIES
Los mamíferos que mas especies tienen son los siguientes.
ORDEN
|
CANTIDAD DE ESPECIES
|
1 Roedores
|
8,513,920
|
2 Murciélagos
|
5,439,905
|
3 insectívoros
|
2,445,710
|
4 Carnívoros
|
2,259,930
|
5 Marsupiales
|
1,634,800
|
6 Con pezuña (hipopótamos, puercos)
|
1,545,390
|
7 Primates
|
1,352,070
|
ENERGÍA ALTERNATIVA EN EL PRESENTE
Las energías alternativas se han estado desarrollando desde hace varias decadaspero, en la actualidad aun es muy caro obtener energía por esos métodos.
La energía eólica .Utiliza turbinas de viento para generar electricidad, sin embargo es muy poca la energía que se genera. En países como Alemania e Inglaterra existen actualmente granjas eólicas, en la década de los 80s comenzó a crecer muy rápidamente la industria y pronto se convirtió en la industria energética que más ha crecido en el mundo, actualmente hay 27000 turbinas que producen cerca del 1% de la electricidad que se consume en la tierra.
Celdas fotovoltaicas. Estas celdas son de gran interés para los investigadores pues convierten directamente la energía del sol en electricidad, en estas celdas existe una lamina de silicio que llega a ser mas delgada que una hoja de papel.
También hay otros tipos de energías alternas que se obtienen por ejemplo. con el movimiento de las olas del mar, la corriente de un río, el calor que desprende un volcán etc.
La energía eólica .Utiliza turbinas de viento para generar electricidad, sin embargo es muy poca la energía que se genera. En países como Alemania e Inglaterra existen actualmente granjas eólicas, en la década de los 80s comenzó a crecer muy rápidamente la industria y pronto se convirtió en la industria energética que más ha crecido en el mundo, actualmente hay 27000 turbinas que producen cerca del 1% de la electricidad que se consume en la tierra.
Celdas fotovoltaicas. Estas celdas son de gran interés para los investigadores pues convierten directamente la energía del sol en electricidad, en estas celdas existe una lamina de silicio que llega a ser mas delgada que una hoja de papel.
También hay otros tipos de energías alternas que se obtienen por ejemplo. con el movimiento de las olas del mar, la corriente de un río, el calor que desprende un volcán etc.
MAPEO EVOLUTIVO DE LAS PLANTAS
Los especialistas creen que el reino vegetal se divide en tres partes, las plantas verdes, las rojas (También llamadas algas de tierra) y las marrones o algas marinas.
El profesor de biología de la universidad de California Brent Mishler fue el encargado de la investigación cuyo objetivo principal era obtener un mapa completo de la evolución de las plantas.
El profesor de biología de la universidad de California Brent Mishler fue el encargado de la investigación cuyo objetivo principal era obtener un mapa completo de la evolución de las plantas.
LAS CIUDADES MAS POBLADAS DEL MUNDO
Tokio es la ciudad con mayor número de habitantes en la tierra, le sigue la ciudad de México con 21.6 millones de habitantes, Sau Paulo con 19.4, Seul con 19.3, New York con 14.6, y Munbay con 12,5.
LA NATACIÓN Y LOS DEPORTISTAS DE COLOR NO SE LLEVAN
Las personas de raza negra tienen una mayor cantidad de fibra muscular, su tejido óseo es más denso por lo cuál no destacan en las competencias de natación, el tejido más denso los hace mas pesados en el agua. esta documentado que el único deportista de tez obscura que ha ganado una medalla de oro en competencias de natación ha sido Anthony Nesty en la Olimpiada de Seul Korea 1988, lo cuál a sorprendido a muchos especialistas.
EL PERRO MAS VELOS DEL MUNDO: "EL GALGO"
El perro mas rápido del mundo es el Grey-Hound que mejor conocemos con el nombre de Galgo, esta raza alcanza una máxima velocidad de 45 millas por hora durante periodos breves.
LOS COMPONENTES DE LA TELARAÑA
La telaraña esta hecha de proteínas llamadas fibriona, hembras y machos producen esta seda en unas glándulas especiales y cada tipo de araña produce distintos tipos para distintos propósitos.
LA SORDERA DE BEETHOVEN
Ludwig Van Beethoven (1770-1827), genial compositor se ayudaba de una varilla que sostenía entre los dientes en cuyo extremo colocaba sobre la tapa del piano para captar las vibraciones producidas por las notas, sufría de una severa Otoesclerosis del oído interno, a la edad de 26 años empezó a perder el oído y ya en los últimos ocho años de vida su sordera fue total, en los años de sordera absoluta era capaz de leer sus composiciones como si se tratara de leer un libro y esto por pura asociación sensopsíquica entre la imagen musical y la auditiva.
LA TRADICION DE LAS DOCE UVAS Y LOS DOCE DESEOS
En España en 1909 hubo un gran excedente en la cosecha de uvas, los agricultores al no saber que hacer con tanta uva inventaron la tradición de tomar doce uvas al inicio del año con las doce campanadas y pedir el mismo número de deseos.
LOS COLORES DE LOS VESTIDOS DE NOVIA
Casada de blanco: buena elección.
Casada de gris: matrimonio largo.
Casada de negro: tu persona amada estará de regreso.
Casada de rojo: desearas mejor estar muerta.
Casada de verde: tu moral relajada o distraída.
Casada de azul: matrimonio muy feliz.
Casada de perla: vivirás un remolino.
Casada de amarillo: avergonzada de tu hombre.
Casada de café: vivirás en la ciudad.
Casada de rosa: tu espíritu se hundirá.
EL CLUB DE LOS 27
Le llaman el club de los 27 a la gran lista de músicos del rock que han muerto a los 27 años de edad, este grupo incluye a Brian Jones (Guitarrista de los Rolling Stones , Jimi Hendrix, Janis Joplin, Kurt Cobain y Jim Morrison quien perecio bajo sircunstancias sospechosas entre otros muchos.
EL BATERISTA ORIGINAL DE LOS BEATLES
Pete Best fue parte de la banda a principios de los sesentas conocida entonces como The Silver Beatles en ese entonces el grupo no tenía un baterista fijo hasta que Paul McCarney en una gira por Hamburgo invito a Best quien hizo una audición y en Agosto de 1960 partió junto con Paul, John, George Y Stuart hacia Alemania y dos años después sin ninguna explicación Best fue remplazado por Ringo Starr unos días antes de grabar su primer éxito "Love Me Do".
EL HIELO COMO DESINFLAMATORIO DE GOLPES
Es muy conocido que el calor es un relajante muscular que ayuda al flujo sanguineo para desaparecer la inflamación pero lo que pocos saben es que el frío aminora la alteración de la permeabilidad bascular y modificaciones leucositarias que son causantes de la inflamación y la temperatura de la sona que ha sido afectada evitando asi las hemorragias y reduce el dolor porque adormece haciendo uso de sus propiedades analgesicas aunque con esto se daña la piel, es por eso que no debe usarse por mas de 30 min seguidos.
LAS MUJERES Y LOS PRIMEROS JUEGOS OLIMPICOS LOS JUEGOS DE HERA
En las primeras olimpiadas (776 a.c) las mujeres no pudieron competir pero crearon su propia versión a la que llamaron los juegos de Hera en alución a la esposa de Zeus diosa de las mujeres y el matrimonio la cual en la mitologia romana era Juno, su madre Rea y su padre Crono.
LA NUEVA TABLET DE GOOGLE NEXUS 7 AGOTADA
THE BEATLES DEAR PRUDENCE
“DEAR PRUDENCE”
Se han preguntado ¿quien es Prudence en la canción de los
Beatles?
El cuarteto conoció a Prudence, hermana de Mia Farrow
durante una visita al Maharishi Mahesh Yogi en 1967, dedicada a la
meditación trascendental, la joven
Prudence pasaba todo su tiempo libre encerrada en una habitción meditando,
preocupados por ella, Lennon le escribió Dear Prudence”, para animarla a salir
a jugar, todos estaban preocupados por la joven, menciono el cuarteto de
Liverpool diciendo “Así que le cantamos”.
JACKIE CHAN Y BRUCE LEE JUNTOS EN UNA PELICULA
Bruce Lee y Jackie Chan protagonistas de distintas películas de artes marciales aparecen juntos por un instante en el final de la película Operación Dragón filmada (Enter The Dragon) filmada en 1973 en la escena de la gran batalla de la cueva Lee toma del cabello a Chan y le rompe el cuello, de echo Chan no sale en los créditos y en la escena fue golpeado accidentalmente por Lee quien se disculpo de inmediato ofreciendole participar en todas sus películas mas nunca pudo cumplir su propuesta pues murió tres semanas después de esto.
LEONES EN EL CIRCO ROMANO
Los leones fueron parte importante del circo romano y la especie que utilizaban era el león de barbary (Pantbera leo leo) la melena de esta especie de león llegaba a cubrir casi la mitad de su cuerpo estos animales eran transportados desde África con lo cual estuvieron en peligro de extinguirse desde el tiempo del imperio romano. El ultimo león de esa especie que fue visto con vida murió asesinado en el año 1922 con lo que se dio por extinta la especie.
BASÍLICA DE SAN PEDRO
La enorme basílica de san Pedro en Roma es tan grande que caben 50,000 personas sentadas, ademas cuenta con una hermosa bóveda y obras de arte en todos los muros, un lugar imperdible para los miles de visitantes que visitan año con año.
EL NACIMIENTO DEL TANGO
El tango apareció por primera vez en Argentina en el año1880, el cual resulta de la fusión del viejo tango de España, el flamenco y la milonga, danza argentina.
Rápidamente se hizo popular en las clases altas por sus movimientos elegantes y su estilo único de la época.
Rápidamente se hizo popular en las clases altas por sus movimientos elegantes y su estilo único de la época.
MARCEL PROUST
LA NOVELA MAS LARGA ESCRITA EN LA HISTORIA
BILLY TIPTON
Famoso pianista y saxofonista de jazz quien nació en 1914, era en realidad mujer y llevo una doble vida hasta el día de su muerte en el año1989, el medico que lo atendió se percato de su secreto y fue entonces que se hizo publica su doble vida.
su verdadero nombre fue Dorothy Lucille Tipton tuvo cinco matrimonios y adopto tres hijos.
su verdadero nombre fue Dorothy Lucille Tipton tuvo cinco matrimonios y adopto tres hijos.
EL PANTEÓN DE AGRIPA
Increiblemente este templo Romano dedicado al culto pagano sobrevivió gracias al cristianismo. después de 500 años de existir, el imperio Romano dejo solo un monumento en perfecto estado de consrvación, un templo dedicado a las deidades Romanas.
El consul Vipsanio Agripa quien vivió en el año 63-12 ac, exigió su construcción en el año 27 ac y a el se le debe el nombre del templo, posteriormente en el año 80 de nuestra era fue destruido casi totalmente por un incendio, cuarenta años mas tarde el emperador Adriano mando restaurarlo.
En el año 608 el rey Bizantino Flavio Focas entrego el templo al papa bonifacio IV quien lo consagro para convertirlo en iglesia cristiana dedicada a Santa María y a todos los santos.
En el techo de la cúpula hay un hoyo circular de nueve metros de diámetro al cual llamaban EL OJO DEL DIOS SOL pues simboliza al dios sol,los romanos creían que la lluvia que entrara por hay se evaporaba antes de tocar el suelo.
El consul Vipsanio Agripa quien vivió en el año 63-12 ac, exigió su construcción en el año 27 ac y a el se le debe el nombre del templo, posteriormente en el año 80 de nuestra era fue destruido casi totalmente por un incendio, cuarenta años mas tarde el emperador Adriano mando restaurarlo.
En el año 608 el rey Bizantino Flavio Focas entrego el templo al papa bonifacio IV quien lo consagro para convertirlo en iglesia cristiana dedicada a Santa María y a todos los santos.
En el techo de la cúpula hay un hoyo circular de nueve metros de diámetro al cual llamaban EL OJO DEL DIOS SOL pues simboliza al dios sol,los romanos creían que la lluvia que entrara por hay se evaporaba antes de tocar el suelo.
LOS IDIOMAS MAS HABLADOS DEL MUNDO
Te has preguntado alguna vez ¿Cual es el idioma que mas se usa en el planeta?, bien, pues aquí te dejo una lista con los idiomas mas hablados del mundo, ¿Cual te gustaría aprender?.
|
Mandarin 1.1 mil millones
Ingles 330 millones
Español 300 millones
Hindi 250 millones
Bengali 185 millones
Portugués 160 millones
Ruso 160 millones
Japonés 125 millones
Aleman 100 millones
|
LOS HUESOS MÁS LARGOS DEL CUERPO HUMANO
Aquí les dejo una lista de los huesos más largos del cuerpo humano basadas en medidas del promedio de la población mundial.
Hueso medida en cm
Hueso medida en cm
|
1 Fémur
|
50.50
|
|
2 Tibia
|
43.03
|
|
3 Peroné
|
40.50
|
|
4 Húmero
|
36.46
|
|
5 Cúbito
|
28.20
|
|
6 Radio
|
26.42
|
|
7 Séptima costilla
|
24
|
|
8 Octava costilla
|
23
|
CEREBRO DE ELEFANTE
El elefante con sus 7.500 a 16,500 Kg es el mamífero mas pesado del planeta y el animal con el cerebro mas grande.
EL ANIMAL MAS LARGO DEL MUNDO
El gusano de cordón de bota (Lineus longissimus) llega a medir mas de 50 metros este gusano pertenece al genero Nemertinos (Nemertea) es de color pardusco con linea de un tono mas claro que recorren su muy frágil cuerpo. Se encuentra principalmente en las costas Británicas, este gusano se especializa en camuflarse en los arrecifes, le gustan las aguas muy frías y utiliza los arrecifes para protegerse de las fuertes corrientes marinas, también se le puede encontrar frecuentemente bajo las rocas de la costa.
A principios del siglo xx fue encontrado un ejemplar de casi 55 metros de largo en una costa de escocia.
A principios del siglo xx fue encontrado un ejemplar de casi 55 metros de largo en una costa de escocia.
ARTE EN EL ESPACIO, NASSER AZAM ARTE ZERO-G
El artista Nasser Azam quien se embarco en julio de 2008 en un avión diseñado para, a través de la caída libre crear el ambiente de gravedad cero, su intención era pintar en estas condiciones. Solo duro diez minutos su experiencia, en ese tiempo realizo las obras, Homenaje a Francis Bacon: Triptico 1 y Triptico 2.
A este excentrico proyecto se le llamo Vida en el espacio.
Como dato adicional: Triptico 1 se subasto en 332,500 Dolares.
A este excentrico proyecto se le llamo Vida en el espacio.
Como dato adicional: Triptico 1 se subasto en 332,500 Dolares.
COMO DERIVAR LA DIVISION O COCIENTE DE UNA FUNCION ENTRE UNA CONSTANTE
La derivada del cociente de una función dividida entre una constante es
igual a la derivada de la función dividida por la constante.
COMO DERIVAR LA POTENCIA DE UNA FUNCIÓN SIENDO EL EXPONENTE CONSTANTE
La derivada de la potencia de una función de exponente constante es igual
al producto del exponente por la función elevada al exponente original menos
uno y por la derivada de la función.
COMO DERIVAR LA MULTIPLICACION O PRODUCTO DE DOS FUNCIONES
DERIVADA DEL PRODUCTO DE DOS FUNCIONES
La derivada del producto de dos funciones es igual al producto de la
primera función por la derivada de la segunda, más el producto de la segunda
por la derivada de la primera.
COMO DERIVAR EL PRODUCTO DE UNA CONSTANTE POR UNA FUNCION
DERIVADA DE UNA CONSTANTE POR UNA FUNCION
La derivada del producto de una constante por una función es igual al
producto de la constante por la derivada de la función.
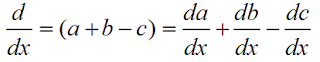
COMO DERIVAR UNA SUMA ALGEBRAICA
DERIVADA DE UNA SUMA
La derivada de una suma algebraica de un número finito de
funciones es igual a la suma algebraica de las derivadas de las
funciones que
la componen.
Siendo a,b,c funciones.
REGLA GENERAL PARA LA DERIVACION
Derivamos
la siguiente función.
1: Se
sustituye en la función x por x+∆x (al símbolo ∆ se le llama incremento) también se
calcula el nuevo valor de y (Se le da un incremento) y+∆y, la función nos
queda.
3: al
resultado se le resta la función original.
4: se
dividen los dos miembros por el incremento de x y se simplifica el resultado, recordamos como dividir
fracciones algebraicas y como simplificarlas (Se eliminan los términos semejantes ).
5: en el
segundo miembro hacemos que el incremento de x tienda a 0.
Ese resultado
es la derivada de la función original, es decir.
Suscribirse a:
Comentarios (Atom)
Búsqueda personalizada
